We use cookies to enhance the usability of our website. If you continue, we'll assume that you are happy to receive all cookies. More information. Don't show this again.
SYT1
HPA
RESOURCES
  • TISSUE
  • BRAIN
  • SINGLE CELL
  • SUBCELLULAR
  • CANCER
  • BLOOD
  • CELL LINE
  • STRUCTURE
  • INTERACTION
ABOUT
  • INTRODUCTION
  • HISTORY
  • ORGANIZATION
  • PUBLICATIONS
  • ACKNOWLEDGMENTS
  • CONTACT
NEWS
  • NEWS ARTICLES
  • PRESS ROOM
LEARN
  • DICTIONARY
  • PROTEIN CLASSES
  • PROTEIN EVIDENCE
  • METHODS
  • EDUCATIONAL VIDEOS
DATA
  • DOWNLOADABLE DATA
  • PUBLICATION DATA
  • RELEASE HISTORY
HELP
  • HELP & FAQ
  • ANTIBODY AVAILABILITY
  • DISCLAIMER
  • PRIVACY STATEMENT
  • LICENCE & CITATION
Fields »
Search result

Field
Term
Gene name
Class
Subclass
Category
Keyword
Chromosome
External id
Tissue
Cell type
Expression
Antibody panel
Tissue
Main location
Patient ID
Annotation
Tissue
Category
Tau score
Cluster
Reliability
Brain region
Category
Tau score
Brain region
Category
Tau score
Brain region
Category
Tau score
Cluster
Reliability
Tissue
Cell type
Enrichment
Cell type
Category
Tau score
Cell type group
Category
Tau score
Cell type
Category
Tau score
Cell type
Category
Tau score
Cell lineage
Category
Tau score
Cluster
Cluster
Location
Searches
Location
Cell line
Class
Type
Phase
Reliability
Cancer
Prognosis
Cancer
Category
Cancer
Category
Tau score
Cluster
Variants
Interacting gene (ensg_id)
Type
Number of interactions
Pathway
ipTM
Category
Category
Category
Category
Validation
Validation
Validation
Validation
Antibodies
Data type
Column


  • SUMMARY

  • TISSUE

  • BRAIN

  • SINGLE CELL

  • SUBCELL

  • CANCER

  • BLOOD

  • CELL LINE

  • STRUCTURE

  • INTERACTION

  • SYT1
PROTEIN SUMMARY GENE INFORMATION RNA DATA ANTIBODY DATA
Antibody HPA008394 Antibody HPA064788
ANTIBODY INFORMATION
Provider Atlas Antibodies
Sigma-Aldrich
Atlas Antibodies
Sigma-Aldrich
Product name HPA008394 HPA064788
Host species Rabbit Rabbit
Clonalityi

The antibodies are designated mAB for monoclonal and pAb for polyclonal.

pAb pAb
Concentration 0.0325 mg/ml 0.1176 mg/ml
Purity Affinity purified using the PrEST-antigen as affinity ligand Affinity purified using the PrEST-antigen as affinity ligand
Released in versioni

The release of the Human Protein Atlas in which the antibody was first published.

4.1 12.0
Validation summaryi

All assays through which the antibody has been validated. Here are more detailed descriptions of the IHC, ICC, WB and PA assays. The pie-charts indicate degree of validation in the different assays (IHC, ICC, WB and PA.

N/A
ICC
IHC 
WB 
PA 
N/A
ICC
IHC 
WB 
PA 
IMMUNOHISTOCHEMISTRYi

Immunohistochemistry is used for validating antibody reliability by assessing staining pattern in 45 normal tissues. Validation scores include Enhanced, Supported, Approved and Uncertain.

Validationi

Results of validation by standard or enhanced validation based on assessment of antibody performance in 45 normal tissues.

Standard validation results in scores Supported, Approved or Uncertain. An image representative of the antibody staining pattern is shown.

Enhanced validation results in the score Enhanced and includes two methods: Orthogonal validation and Independent antibody validation. For orthogonal validation, representative images of high and low expression are shown. For independent antibody validation, four images of each independent antibody are displayed.

Enhanced - Orthogonal

Antibody staining mainly consistent with RNA expression data across 43 tissues.
HIGH EXPRESSION
Cerebral cortex
RNA expression: 280.3 nTPM
LOW EXPRESSION
Pancreas
RNA expression: 0.3 nTPM
Enhanced - Independent antibodies

Protein distribution across 44 tissues similar between the independent antibodies HPA008394 and HPA064788.
Cerebral cortex
Liver
Pancreas
Testis
Enhanced - Orthogonal

Antibody staining mainly consistent with RNA expression data across 43 tissues.
HIGH EXPRESSION
Cerebral cortex
RNA expression: 280.3 nTPM
LOW EXPRESSION
Pancreas
RNA expression: 0.3 nTPM
Enhanced - Independent antibodies

Protein distribution across 44 tissues similar between the independent antibodies HPA008394 and HPA064788.
Cerebral cortex
Liver
Pancreas
Testis
Retrievali

Antigen retrieval is a method used to restore/retrieve the epitope (antibody bidning region) of the target protein, cross-linked, and thus masked, during tissue preserving fixative treatment of the tissues.

HIER pH6 HIER pH6
Antibody dilution 1:90 1:200
Literature conformityi

Conformance of the expression pattern with available gene/protein characterization data in scientific literature and data from bioinformatic predictions.

UniProt is used as the main source of gene/protein characterization data and when relevant, available publications and other sources of information are researched in depth. Extensive or sufficient gene/protein data requires that there is evidence of existence on a protein level and that a substantial quantity of published experimental data is available from literature and public databases. Limited protein/gene characterization data does not require evidence of existence on a protein level and refers to genes for which only bioinformatic predictions and scarce published experimental data is available.

Consistent with extensive gene/protein characterization data. Consistent with extensive gene/protein characterization data.
RNA consistencyi

Consistency between immunohistochemistry data and consensus RNA levels is divided into five different categories: i) High consistency, ii) Medium consistency, iii) Low consistency, iv) Very low consistency, and v) Cannot be evaluated.

High consistency between antibody staining and RNA expression data. High consistency between antibody staining and RNA expression data.
WESTERN BLOTi

A Western blot analysis is performed on a panel of human tissues and cell lines to evaluate antibody specificity. For antibodies with unreliable result a revalidation using an over-expression lysate is performed.

Validationi

Western Blot is used for quality control of the polyclonal antibodies generated in the project. After purification, the antibodies are used to detect bands in a setup of lysate and different tissues. The result is then scored Enhanced, Supported, Approved, or Uncertain.

Enhanced validation includes five different methods: Genetic validation, Recombinant expression validation, Independent antibody validation, Orthogonal validation and Capture MS validation.

Enhanced - Recombinant expressioni

This method is based on over-expression of the target protein in a cell line preferably not expressing the target protein. The staining of the antibody is evaluated by Western blot through analyses of samples from cell lysates with and without recombinant expression of the target protein. The results show no or weak band from the unmodified cell line lysate and a strong band in the cell line with recombinant expression.


Band of predicted size in kDa (+/-20%) with additional bands present.
Lane 1: Marker [kDa] 250, 130, 95, 72, 55, 36, 28, 17, 10
Lane 2: Negative control (vector only transfected HEK293T lysate)
Lane 3: Over-expression Lysate (Co-expressed with a C-terminal myc-DDK tag (~3.1 kDa) in mammalian HEK293T cells, LY417170)
Target mass (kDa): 47.6, 47.3, 41.7, 41.1, 23.1, 19.8, 18.9
Enhanced - Recombinant expressioni

This method is based on over-expression of the target protein in a cell line preferably not expressing the target protein. The staining of the antibody is evaluated by Western blot through analyses of samples from cell lysates with and without recombinant expression of the target protein. The results show no or weak band from the unmodified cell line lysate and a strong band in the cell line with recombinant expression.


Single band corresponding to the predicted size in kDa (+/-20%).
Lane 1: Marker [kDa] 250, 130, 95, 72, 55, 36, 28, 17, 10
Lane 2: Negative control (vector only transfected HEK293T lysate)
Lane 3: Over-expression Lysate (Co-expressed with a C-terminal myc-DDK tag (~3.1 kDa) in mammalian HEK293T cells, LY417170)
Target mass (kDa): 47.6, 47.3, 41.1, 23.1, 19.8, 18.9, 10.2, 7.6, 6.2
Antibody dilution 1:250
1:125
PROTEIN ARRAY
Validationi

A protein array containing 384 different antigens including the antibody target is used to analyse antibody specificity. Depending on the array interaction profile the antibody is scored as Supported, Approved, or Uncertain.

Supported

Pass with single peak corresponding to interaction only with its own antigen.
Antibody specificity analysis with protein arrays. Predicted and matching interactions are shown in green.
Supported

Pass with single peak corresponding to interaction only with its own antigen.
Antibody specificity analysis with protein arrays. Predicted and matching interactions are shown in green.
Antibody dilution 1:500 1:2350
ANTIGEN INFORMATION
Antigen Recombinant protein fragment Recombinant protein fragment
Length (aa) 69 52
Antigen sequence GGKNAINMKDVKDLGKTMKDQALKDDDAETGLTDGEEKEEPKEEEKLGKL QYSLDYDFQNNQLLVGIIQ MVSESHHEALAAPPVTTVATVLPSNATEPASPGEGKEDAFSKLKEKFMNE LH
Matching transcripts SYT1-201 - ENSP00000261205 [100%]
SYT1-202 - ENSP00000376932 [100%]
SYT1-203 - ENSP00000401559 [100%]
SYT1-212 - ENSP00000447575 [100%]
SYT1-213 - ENSP00000515993 [100%]
SYT1-217 - ENSP00000515997 [100%]
SYT1-219 - ENSP00000515999 [100%]
SYT1-220 - ENSP00000516000 [100%]
SYT1-221 - ENSP00000516001 [100%]
SYT1-222 - ENSP00000516002 [100%]
SYT1-223 - ENSP00000516003 [100%]
SYT1-225 - ENSP00000516005 [100%]
SYT1-227 - ENSP00000516007 [100%]
SYT1-228 - ENSP00000516008 [100%]
SYT1-231 - ENSP00000516009 [100%]
SYT1-232 - ENSP00000516010 [100%]
SYT1-235 - ENSP00000516013 [100%]
SYT1-204 - ENSP00000391056 [96%]
SYT1-211 - ENSP00000448861 [96%]
SYT1-216 - ENSP00000515996 [96%]
SYT1-226 - ENSP00000516006 [96%]
SYT1-233 - ENSP00000516011 [96%]
SYT1-201 - ENSP00000261205 [100%]
SYT1-202 - ENSP00000376932 [100%]
SYT1-203 - ENSP00000401559 [100%]
SYT1-204 - ENSP00000391056 [100%]
SYT1-205 - ENSP00000448964 [100%]
SYT1-208 - ENSP00000450321 [100%]
SYT1-209 - ENSP00000447656 [100%]
SYT1-210 - ENSP00000447035 [100%]
SYT1-211 - ENSP00000448861 [100%]
SYT1-212 - ENSP00000447575 [100%]
SYT1-213 - ENSP00000515993 [100%]
SYT1-216 - ENSP00000515996 [100%]
SYT1-217 - ENSP00000515997 [100%]
SYT1-219 - ENSP00000515999 [100%]
SYT1-221 - ENSP00000516001 [100%]
SYT1-222 - ENSP00000516002 [100%]
SYT1-223 - ENSP00000516003 [100%]
SYT1-225 - ENSP00000516005 [100%]
SYT1-226 - ENSP00000516006 [100%]
SYT1-227 - ENSP00000516007 [100%]
SYT1-228 - ENSP00000516008 [100%]
SYT1-231 - ENSP00000516009 [100%]
SYT1-232 - ENSP00000516010 [100%]
SYT1-233 - ENSP00000516011 [100%]
SYT1-235 - ENSP00000516013 [100%]
Matching mouse transcripts ENSMUSP00000063293 [100%]
ENSMUSP00000100912 [100%]
ENSMUSP00000112438 [63%]
ENSMUSP00000070322 [36%]
ENSMUSP00000063293 [85%]
ENSMUSP00000100912 [85%]
ENSMUSP00000112438 [44%]
ENSMUSP00000140337 [32%]
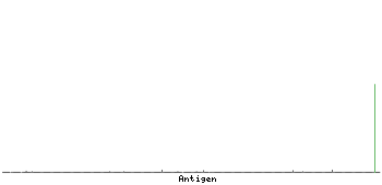
ANTIGEN VIEWi

The Protein Browser

The ProteinBrowser displays the antigen location on the target protein(s) and the features of the target protein. Transcript names and schematic transcript structures including exons, introns and UTRs for the different isoforms are shown on top, and can be used to switch between the structures for the different splice variants.

At the top of the view, the position of the antigen (identified by the corresponding HPA identifier) is shown as a green bar. A yellow triangle on the bar indicates a <100% sequence identity to the protein target.

Below the antigens, the maximum percent sequence identity of the protein to all other proteins from other human genes is displayed, using a sliding window of 10 aa residues (HsID 10) or 50 aa residues (HsID 50). The region with the lowest possible identity is always selected for antigen design, with a maximum identity of 60% allowed for designing a single-target antigen (read more).

The curve in blue displays the predicted antigenicity i.e. the tendency for different regions of the protein to generate an immune response, with peak regions being predicted to be more antigenic.The curve shows average values based on a sliding window approach using an in-house propensity scale. (read more).

Signal peptides (turquoise) and membrane regions (orange) based on predictions using the majority decision methods MDM and MDSEC are also displayed.

Low complexity regions are shown in yellow and InterPro regions in green. Common (purple) and unique (grey) regions between different splice variants of the gene are also displayed (read more), and at the bottom of the protein view is the protein scale.

«
SYT1-201
SYT1-202
SYT1-203
SYT1-204
SYT1-205
SYT1-208
SYT1-209
SYT1-210
SYT1-211
SYT1-212
SYT1-213
SYT1-216
SYT1-217
SYT1-219
SYT1-220
SYT1-221
SYT1-222
SYT1-223
SYT1-225
SYT1-226
SYT1-227
SYT1-228
SYT1-231
SYT1-232
SYT1-233
SYT1-235
»

Contact

  • NEWS ARTICLES
  • PRESS ROOM

The Project

  • INTRODUCTION
  • ORGANIZATION
  • PUBLICATIONS

The Human Protein Atlas

  • DOWNLOADABLE DATA
  • LICENCE & CITATION
  • HELP & FAQ
KAW logo The Human Protein Atlas project is funded
by the Knut & Alice Wallenberg Foundation.

Facebook logo X logo Bluesky logo Linkedin logo RSS feed logo contact@proteinatlas.org
GCBR logo Elixir core logo SciLifeLab logo Uppsala university logo KI logo KTH logo